Schutzgruppen für die organische Synthese – Schutz und Entschützung von Alkoholhydroxylgruppen (2)

3/29/2024

Im vorherigen Artikel haben wir die Anwendung von Etherschutzgruppen zum Schutz von Hydroxylgruppen besprochen. In diesem Artikel werden wir die Hydroxylschutzstrategie weiter erörtern, hauptsächlich einschließlich der Anwendung von Esterschutzgruppen und des Schutzes von Diolen. Durch die Analyse der Eigenschaften und Anwendungsszenarien verschiedener Schutzgruppen hoffen wir, Ihr Verständnis von Hydroxylschutzstrategien zu vertiefen, damit Sie im Syntheseprozess flexiblere Entscheidungen treffen können.

1. Ester-Schutzgruppen (Acyl-Schutzgruppen)

Esterschutzgruppen sind eine kostengünstige und wirksame Methode zum Schutz von Hydroxylgruppen. Sie können grob in Carbonsäureester, Carbonate und Sulfonsäureester unterteilt werden, von denen Carbonsäureesterschutzgruppen am häufigsten verwendet werden.

1. Carbonsäureester
Zu den üblichen Carbonsäureesterschutzgruppen gehören Acetyl (Ac), Benzoyl (Bz), Pivaloyl (Piv) usw., die häufig bei der Synthese von Zuckern, Peptiden usw. verwendet werden. Die Methoden zum Einführen von Acylgruppen sind im Allgemeinen ähnlich. Das entsprechende Acylchlorid oder Säureanhydrid reagiert in Gegenwart einer Base (hauptsächlich Pyridin und Triethylamin) mit Alkohol, um den entsprechenden Ester zu erhalten. Wenn die Reaktion zu langsam ist, insbesondere bei Substraten mit großer sterischer Hinderung, kann DMAP hinzugefügt werden, um die Reaktion zu beschleunigen. Darüber hinaus kann Pivaloylchlorid in Polyhydroxysubstraten primäre Alkohole selektiv schützen.

hochfein

Im Allgemeinen können Estergruppen durch Hydrolyse unter alkalischen Bedingungen, wie etwa K2CO3, NH3, Hydrazinhydrat usw., entfernt werden. Die Reihenfolge der Hydrolysefähigkeit der oben genannten Acylgruppen ist ungefähr: Pivaloyl Piv < Benzoyl Bz < Acetyl Ac. Durch Ausnutzen der Schwierigkeit der Hydrolyse dieser Schutzgruppen kann die Acetylgruppe in Gegenwart von Pivaloyl selektiv entfernt werden. Übliche Bedingungen und Beispiele für Einführung und Entfernung sind wie folgt:

(1) Acetylschutz
: ①: Ac2O oder AcCl, Py, DMAP; ②: Ac2O, TMSOTf (Kat.), CH2Cl2, 0 °C;

hochfein
Entschützung: ①: K2CO3, MeOH/H2O, 20℃; ②: NH2NH2, MeOH

hochfein



(2) Benzoyl-
Schutz: BzCl, Et3N, CH2Cl2, 0℃

hochfein
Entschützung: ①: NaOH, MeOH; ②: Et3N, MeOH, H2O (1:5:1), Rückfluss
hochfein
(3) Pivaloyl
-Schutz: ①: PivCl, Py, 0 – 25 °C, DCM; ②: Piv2O, MgBr2, TEA, CH2Cl2, rt;

hochfein
Entschützung: ①: Bu4N+OH-, 20℃; ②: MeONa, MeOH

2. Karbonat

hochfein
Carbonat ist auch ein Mittel zum Schutz von Hydroxylgruppen. Es kann durch alkalische Hydrolyse oder durch Verwendung eines zweiten Alkylsubstituenten entfernt werden. Häufig verwendete Schutzgruppen sind 9-Fluorenylmethoxycarbonyl (-Fmoc), 2,2,2-Trichlorethoxycarbonyl (-Troc) usw. Die üblichen Bedingungen und Beispiele für die Einführung und Entfernung sind wie folgt:

(1) 9-Fluorenylmethoxycarbonyl:
Schutz: Fmoc-Cl, Py, 0℃; Entschützung: ①: Et3N, Py; ②: DBU, CH2Cl2

hochfein

(2) 2,2,2-Trichlorethoxycarbonyl:
Schutz: ①: Troc-Cl, Py, 20℃; ②: Troc-Cl, Et3N, DMAP, CH2Cl2
Entschützung: ①: Zn/AcOH, 20℃; ②: K2CO3, MeOH/H2O

hochfein
hochfein

3. Sulfonat

Sulfonatschutzgruppen werden hauptsächlich zum Schutz von Zuckerverbindungen verwendet und können auch in bestimmten Verbindungen verwendet werden. Häufig verwendete Gruppen sind Methansulfonyl (Ms), p-Toluolsulfonyl (Ts) usw. In vielen Fällen ist es jedoch wahrscheinlicher, dass die Einführung von Sulfonyl (OMs, OTs) als Abgangsgruppe reagiert.

hochfein

(1) Methansulfonyl:
Schutz: Ms-Cl, Et3N, CH2Cl2, 0℃; Entschützung: Na(Hg), i-PrOH

(2) p-Toluolsulfonyl
Schutz: Ts-Cl, Py, CH2Cl2, 0℃; Entschützung: hv, Et3N, MeOH

hochfein

2. Schutz von Diolen

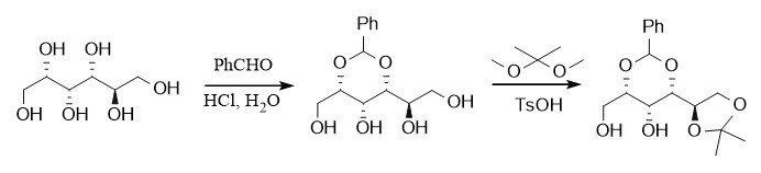
Diole (1,2-Diole und 1,3-Diole) sind in der synthetischen Entwicklung und in natürlichen Verbindungen wie Makroliden sehr verbreitet, und es wurden viele entsprechende Schutzgruppen abgeleitet. Der Schutz von Diolen wird üblicherweise durch die Verwendung von Aldehyden und Ketonen erreicht. Ebenso können Aldehyde und Ketone durch Diole geschützt werden. Die gängigen Schutzgruppen heißen Acetale und Ketale. Unter ihnen sind Dioxolan und Dioxan die häufigsten Schutzgruppen für Diole. Basierend auf den Faktoren der thermodynamischen Stabilität neigen Acetal-Schutzgruppen dazu, einen Sechsring, nämlich Dioxan, zu bilden, während Ketal-Schutzgruppen eher einen Fünfring bilden. Beispielsweise ist das am häufigsten verwendete Acetal die Benzyliden-Schutzgruppe, und die Einführungsmethoden umfassen PhCHO/ZnCl2 oder H+, PhCH(OMe)2/TsOH/DMF usw.; Das am häufigsten verwendete Ketal ist die Acetonacetal-Schutzgruppe, die durch Säurekatalyse mit Aceton oder 2,2-Dimethoxypropan eingeführt wird.

Acetale und Ketale sind im Allgemeinen säureempfindlich und können unter sauren Bedingungen entschützt werden. Darüber hinaus kann die Benzyliden-Schutzgruppe auch durch Hydrogenolyse entfernt werden.

hochfein

Neben Acetalen und Ketalen können auch Carbonate zum Schutz von Diolen eingesetzt werden. Beispielsweise reagiert Triphosgen in Gegenwart einer Base (Py, Et3N) mit 1,2-Diolen zu Carbonaten wie:
hochfein

Dieser Artikel stellt hauptsächlich die Anwendung von Esterschutzgruppen beim Hydroxylschutz und beim Schutz und Entschützen von Diolen vor und zielt darauf ab, die Auswahlmöglichkeiten für Forscher bei synthetischen Arbeiten zu erweitern. Im tatsächlichen Betrieb können Forscher geeignete Schutz- und Entschützenstrategien entsprechend den spezifischen experimentellen Bedingungen wählen, um eine höhere Syntheseeffizienz zu erreichen.
Seit seiner Gründung im Jahr 2003 hat sich Haofan Bio auf die Forschung, Entwicklung und den Vertrieb von Kondensationsmitteln, Schutzmitteln, Peptidmedikamenten und Liposommembranmaterialien konzentriert. Das Unternehmen hat mittlerweile eine Vielzahl von Schutzreagenzien auf den Markt gebracht, wie z. B. Fmoc-Cl/Fmoc-Osu, Troc-Cl/Troc-Osu, Tr-Cl, DMT-Cl usw. Wir freuen uns auf interessierte Kunden, die uns zur Beratung und Besprechung von Kooperationsmöglichkeiten anrufen.


Verwandte Produkte

Hier stellen wir Ihnen unsere beliebten verwandten Produkte vor, die Sie interessieren könnten. Wenn Sie Fragen haben, setzen Sie sich bitte mit uns in Verbindung; unsere Spezialisten werden Ihnen innerhalb von 24 Stunden antworten.

(S)-2-(tert-butoxycarbonyl)pent-4-enoic...

CAS RN

221352-64-3

Appearance

White to off white solid

Purity

>97%

Erfahren Sie mehr...

2-hydroxyacetamide

CAS RN

598-42-5

Appearance

White to off-white or pale yellow powder

Purity

Erfahren Sie mehr...

4-(TRIFLUOROMETHYL)BENZOIC ANHYDRIDE

CAS RN

25753-16-6

Appearance

Off-white to white crystalline powder

Purity

≥98.0% GC

Erfahren Sie mehr...

4-Hydroxy-6-(trifluoromethyl)pyrimidine

CAS RN

1546-78-7

Appearance

White solid

Purity

>98% HPLC

Erfahren Sie mehr...

KONTAKT US

Bitte füllen Sie das untenstehende Formular aus und unser Vertriebsteam wird Ihnen gerne ein Angebot für Peptidsynthesereagenzien unterbreiten.

Thank you! Your message has been sent.
Unable to send your message. Please fix errors then try again.
Kontakt

Search

Beliebte Schlüsselwörter: TBTU, HBTU, HOBT, HOPO

Hinterlassen Sie eine Nachricht

Danke, dass Sie uns besuchen. Bitte hinterlassen Sie eine Nachricht und wir werden Ihnen per E-Mail antworten.

Kontakt