Neuartiges Kondensationsreagenz erzielt doppelten Durchbruch in Struktur und Leistung

10/12/2025

In den letzten Jahren hat der globale Markt für Peptidwirkstoffe ein anhaltend schnelles Wachstum verzeichnet und dabei einzigartige Vorteile in verschiedenen Therapiebereichen gezeigt. Allerdings gibt es bei den bestehenden Synthesesystemen noch immer kritische technische Engpässe, darunter Herausforderungen bei der Kontrolle von Nebenreaktionen und der Aufrechterhaltung der chiralen Reinheit. Als Kernreagenz für den Aufbau von Amidbindungen hat seine Leistung direkten Einfluss auf die Effizienz der Bindungsbildung, die Produktreinheit und die Ausbeute. Daher hat die innovative Entwicklung von Peptidsynthesereagenzien große Aufmerksamkeit auf sich gezogen.

Unter den zahlreichen Kondensationsreagenzien werden ionische Kondensationsreagenzien wie HATU aufgrund ihrer hohen Reaktivität und hervorragenden Racemisierungsunterdrückung häufig verwendet. Diese Reagenzien enthalten jedoch hochenergetische Heteroatombindungen (wie NN- und NO-Bindungen), was zu einer geringen thermischen Stabilität und potenziellen Sicherheitsrisiken führt. Um diesem Problem zu begegnen, entwickelte Kunishimas Team ein neues Kondensationsreagenz: 2-(4,6-Dimethoxy-1,3,5-triazin-2-yl)-1,1,3,3-tetramethyluroniumhexafluorophosphat, abgekürzt DMT-TU.

1. Molekulare Eigenschaften von DMT-TU:

DMT-TU kombiniert auf innovative Weise die hohe Reaktivität der Tetramethylharnstoffstruktur mit den leicht ausscheidbaren Eigenschaften der Triazinstruktur in DMTMM (siehe Struktur in Abbildung 1). Es verfügt sowohl über eine hohe Reaktivität als auch über die Fähigkeit, Racemisierung zu hemmen. Das Molekül enthält keine hochenergetischen Heteroatombindungen, was die Stabilität verbessert. Experimente haben gezeigt, dass es auch nach einjähriger Lagerung im Kühlschrank stabil bleibt.

Starke Synergie
Abbildung 1 DMT-TU-Struktur

Darüber hinaus wurden die thermischen Eigenschaften von DMT-TU und anderen Kondensationsreagenzien mittels Differenzkalorimetrie (DSC) untersucht. Die Daten der niedrigsten Zersetzungstemperatur T0 und der insgesamt freigesetzten Wärme Q lauten wie folgt:

Starke Synergie

Wie aus der Tabelle ersichtlich ist, ist die Zersetzungstemperatur von DMT-TU mit der von HATU vergleichbar, die insgesamt freigesetzte Wärme ist jedoch deutlich niedriger als die des Kondensationsreagenzes, was darauf hindeutet, dass es bei Verwendung und Lagerung sicherer ist.

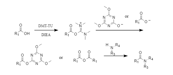
2. Wirkungsmechanismus von DMT-TU:

Der Wirkungsmechanismus von DMT-TU ist wie folgt: Carbonsäure reagiert mit DMT-TU in Gegenwart einer Base zu O-Acylisoharnstoff, der dann weiter mit Triazinat oder Carboxylat reagiert, um den entsprechenden Triazinester oder Carbonsäureanhydrid zu bilden, und schließlich durch Aminolyse eine Amidverbindung erhält.

Starke Synergie
Abbildung 2 Wirkungsmechanismus von DMT-TU

3. Funktionen von DMT-TU:

1. Hocheffiziente Kupplungsfähigkeit:
DMT-TU kann effizient Amidbindungen aufbauen und eignet sich sowohl für aromatische als auch für aliphatische Substrate. Die Reaktionsausbeute liegt im Allgemeinen über 80 % (siehe Abbildung für Details). Bei der Reaktion von Phenylpropionsäure als Modellsubstrat mit Anilin/Diethylamin wurden mit DMT-TU Ausbeuten von über 90 % erzielt. Unter den gleichen Bedingungen betrugen die entsprechenden Amidausbeuten mit DMTMM 73 % bzw. 68 %. Dies zeigt, dass DMT-TU eine überlegene Reaktivität aufweist.

Starke Synergie
Abbildung 3 Kondensationsreaktion durch DMT-TU gefördert

2. Hervorragende Racemisierungsinhibition
Neben hoher Reaktivität muss ein hervorragendes Kondensationsreagenz auch über eine starke Racemisierungsinhibition verfügen. In Vergleichsversuchen mit racemisierbaren Aminosäuresubstraten zeigte DMT-TU eine hervorragende Racemisierungsinhibition und erreichte ein niedrigeres Racemisierungsverhältnis als herkömmliche Reagenzien wie HATU und HBTU (siehe Abbildung 4).

Starke Synergie

Zusammenfassend lässt sich sagen, dass das neue Kondensationsreagenz DMT-TU durch ein ausgeklügeltes Moleküldesign eine Kombination aus hoher Aktivität und hoher Sicherheit erreicht. Es ist ein potenzielles industrielles Kondensationsreagenz und liefert zudem neue Ideen für die Weiterentwicklung der Peptidsynthesetechnologie. Es hat einen wichtigen wissenschaftlichen Forschungs- und Anwendungswert.

Nach 22 Jahren unermüdlicher Anstrengungen und Aufbauarbeit hat Haofan Bio seine Wurzeln im Bereich der globalen Peptidsynthesereagenzien weiter vertieft und sich nun zu einem führenden Unternehmen mit umfassender Abdeckung kundenspezifischer Produkte und erheblichen Vorteilen bei der Großproduktion entwickelt, das die spezifischen Bedürfnisse verschiedener Kunden erfüllen kann. Wir laden Kunden, die an diesem Produkt interessiert sind, herzlich ein, sich mit uns in Verbindung zu setzen, um weitere Informationen über das Produkt zu erhalten und Kooperationsmöglichkeiten zu erkunden.

Referenzen:
[1] Mizushima, G.; Fujita, H.; Kunishima, M. Entwicklung eines Triazinyluronium-basierten dehydrativen Kondensationsreagenzes ohne heteroatomare Bindungen[J]. J. Org. Chem. 2024, 89, 18660−18664.


Verwandte Produkte

Hier stellen wir Ihnen unsere beliebten verwandten Produkte vor, die Sie interessieren könnten. Wenn Sie Fragen haben, setzen Sie sich bitte mit uns in Verbindung; unsere Spezialisten werden Ihnen innerhalb von 24 Stunden antworten.

(S)-2-(tert-butoxycarbonyl)pent-4-enoic...

CAS RN

221352-64-3

Appearance

White to off white solid

Purity

>97%

Erfahren Sie mehr...

2-hydroxyacetamide

CAS RN

598-42-5

Appearance

White to off-white or pale yellow powder

Purity

Erfahren Sie mehr...

4-(TRIFLUOROMETHYL)BENZOIC ANHYDRIDE

CAS RN

25753-16-6

Appearance

Off-white to white crystalline powder

Purity

≥98.0% GC

Erfahren Sie mehr...

4-Hydroxy-6-(trifluoromethyl)pyrimidine

CAS RN

1546-78-7

Appearance

White solid

Purity

>98% HPLC

Erfahren Sie mehr...

KONTAKT US

Bitte füllen Sie das untenstehende Formular aus und unser Vertriebsteam wird Ihnen gerne ein Angebot für Peptidsynthesereagenzien unterbreiten.

Thank you! Your message has been sent.
Unable to send your message. Please fix errors then try again.
Kontakt

Search

Beliebte Schlüsselwörter: TBTU, HBTU, HOBT, HOPO

Hinterlassen Sie eine Nachricht

Danke, dass Sie uns besuchen. Bitte hinterlassen Sie eine Nachricht und wir werden Ihnen per E-Mail antworten.

Kontakt