Multifunktionaler Aktivator in der Peptidchemie und Arzneimittelsynthese – DSC

8/30/2024

N,N'-Disuccinimidylcarbonat (kurz DSC) ist ein multifunktionales Reagenz zur Herstellung aktiver Ester und ein Ersatz für Phosgen in verschiedenen nukleophilen Reaktionen. DSC reagiert empfindlich auf Feuchtigkeit. In einer Wasserumgebung hydratisiert es schnell, setzt Kohlendioxid frei und erzeugt NHS. In nichtwässrigen Umgebungen ist die Löslichkeit von DSC in verschiedenen organischen Lösungsmitteln einer der Schlüsselfaktoren für die Reaktionseffizienz und Rückstandsentfernung, insbesondere bei der Synthese komplexer Polysaccharidfunktionalisierungen. Tabelle 1 spiegelt die Löslichkeit von DSC in gängigen organischen Lösungsmitteln wider Die Löslichkeit im Produkt bietet einen Anhaltspunkt für die Auswahl der Reaktionsbedingungen.

Tabelle 1 Löslichkeit von DSC in organischen Lösungsmitteln

Lösungsmittel Dichlormethan Aceton Acetonitril Tetrahydrofuran Ethylacetat Isopropylalkohol ZMS DMSO
Löslichkeit (mg/ml) 2 14 34 3 4 2 88 >250

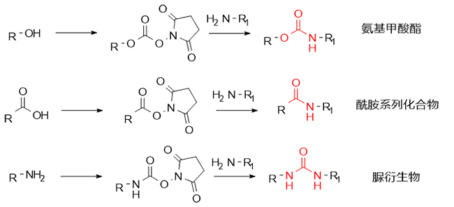
DSC hat ein breites Anwendungsspektrum in der Peptidsynthese, im Arzneimitteldesign, in der Nukleinsäuremodifizierung und in anderen Bereichen. Aufgrund seiner milden Reaktionsbedingungen und hocheffizienten Kopplungseigenschaften spielt es eine wichtige Rolle bei der Synthese von Harnstoffderivaten und Carbamatverbindungen. Gleichzeitig ist DSC auch ein häufig verwendetes Kopplungsreagenz für Amide und Thiophospholipide. Durch die Förderung der Bildung von Carbonaten, aktiven Carbonsäureestern und entsprechenden Carbamatsuccinimidylestern, die weiter mit Aminmolekülen reagieren, werden die entsprechenden Carbamat-, Amid- und Harnstoffderivate effizient synthetisiert (siehe Abbildung 1).

DSC-vermittelter Syntheseweg
Abbildung 1 DSC-vermittelter Syntheseweg

I. Synthese von Carbamatverbindungen

Carbamatverbindungen haben aufgrund ihres breiten Anwendungsspektrums und ihrer Bedeutung in der Medizin, bei Pestiziden, Beschichtungen und in der organischen Synthese viel Aufmerksamkeit auf sich gezogen. DSC kann als effizienter Aktivator nicht nur die Synthese von Carbamatverbindungen aus Alkoholen und gehinderten Aminosäuren fördern, sondern spielt auch eine zentrale Rolle in den wichtigsten Syntheseschritten von Arzneimitteln der Carbamatreihe wie dem HIV-Behandlungsmittel Darunavir und ermöglicht das Spleißen komplexer Molekülfragmente in der Biochemie.
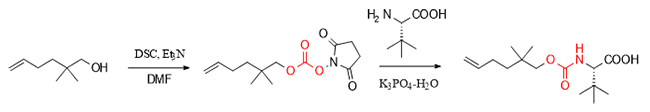
Insbesondere bei der Synthese des Schlüsselzwischenprodukts des Hepatitis-C-Medikaments Vanirvir synthetisierte DSC die Zielcarbamatverbindung effizient, indem es Alkohol aktivierte und dann mit L-tert-Leucin reagierte, das eine große sterische Hinderung aufweist.

DSC-vermittelter Syntheseweg
Bei der Synthese des Moleküls des HIV-Medikaments Darunavir gelang DSC das Spleißen zweier Schlüsselfragmente durch die Bildung eines aktivierten Esters mit einer Hydroxylgruppe.

DSC-vermittelter Syntheseweg
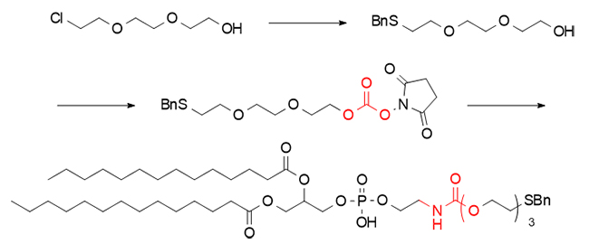
Darüber hinaus zeigte DSC auch bei der Synthese von Thiophospholipiden seine hervorragende Kopplungsleistung. Durch Aktivierung mit Hydroxylgruppen und anschließendes Spleißen mit der Aminogruppe von DMPE wurden Thiophospholipide erhalten, die durch Carbamatbindungen verbunden waren.
DSC-vermittelter Syntheseweg

2. Synthese von Harnstoffderivaten

Harnstoff-Funktionsfragmente spielen als Schlüsselstrukturen in vielen Arzneimittelmolekülen eine wichtige Rolle bei der Regulierung der molekularen Aktivität und der physikochemischen Eigenschaften. Bei der Synthese des radioaktiven Bildgebungsmittels Piflufolastat F-18 erzeugte DSC durch Reaktion mit Aminogruppen Succinimidester-Zwischenprodukte und konstruierte darüber hinaus Harnstoff-Strukturfragmente, was seine Flexibilität und Effizienz bei der Arzneimittelsynthese demonstrierte.
DSC-vermittelter Syntheseweg

3. Synthese von Verbindungen der Amidreihe

Amidverbindungen sind die grundlegendsten Strukturfragmente im Bereich der Peptidsynthese und auch Schlüsselstrukturen im Bereich der Arzneimittelsynthese. Als Aktivierungs- und Schutzmittel hat DSC seine Vielseitigkeit in der chemischen Synthese unter Beweis gestellt. Es kann nicht nur Carbonate und Succinimidester bilden, sondern auch aktive Ester mit Carboxylgruppen und darüber hinaus stabile Amidverbindungen mit Amingruppen.
DSC-vermittelter Syntheseweg
Zusammenfassend lässt sich sagen, dass die breite Anwendung von DSC in den Bereichen Chemie, Medizin und Biologie seine wichtige Rolle in der organischen Synthese zeigt. Ob es nun um die Synthese komplexer Moleküle oder die Anwendung in grundlegenden chemischen Reaktionen geht, DSC hat seine hervorragende Reaktionsleistung unter Beweis gestellt und ist ein unverzichtbares Werkzeug in den Händen von Forschern.

Verwandte Produkte

Hier stellen wir Ihnen unsere beliebten verwandten Produkte vor, die Sie interessieren könnten. Wenn Sie Fragen haben, setzen Sie sich bitte mit uns in Verbindung; unsere Spezialisten werden Ihnen innerhalb von 24 Stunden antworten.

(S)-2-(tert-butoxycarbonyl)pent-4-enoic...

CAS RN

221352-64-3

Appearance

White to off white solid

Purity

>97%

Erfahren Sie mehr...

2-hydroxyacetamide

CAS RN

598-42-5

Appearance

White to off-white or pale yellow powder

Purity

Erfahren Sie mehr...

4-(TRIFLUOROMETHYL)BENZOIC ANHYDRIDE

CAS RN

25753-16-6

Appearance

Off-white to white crystalline powder

Purity

≥98.0% GC

Erfahren Sie mehr...

4-Hydroxy-6-(trifluoromethyl)pyrimidine

CAS RN

1546-78-7

Appearance

White solid

Purity

>98% HPLC

Erfahren Sie mehr...

KONTAKT US

Bitte füllen Sie das untenstehende Formular aus und unser Vertriebsteam wird Ihnen gerne ein Angebot für Peptidsynthesereagenzien unterbreiten.

Thank you! Your message has been sent.
Unable to send your message. Please fix errors then try again.
Kontakt

Search

Beliebte Schlüsselwörter: TBTU, HBTU, HOBT, HOPO

Hinterlassen Sie eine Nachricht

Danke, dass Sie uns besuchen. Bitte hinterlassen Sie eine Nachricht und wir werden Ihnen per E-Mail antworten.

Kontakt