In-vitro-Diagnostikreagenzien - Dinatrium-p-Nitrophenylphosphat

12/28/2023

1. Einführung in Verbindungen

Projekt Dinatrium-p-nitrophenylphosphat
CAS 333338-18-4
Molekulargewicht 371.2
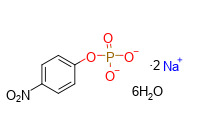
Strukturformel hochfein
Chemische Formel C6H4NO6P 2Na 6H2O
Außen Weißer bis blassgelber Feststoff


Dinatrium-p-Nitrophenylphosphat, auch bekannt als 4-Nitrophenylphosphat-Dinatriumsalz-Hexahydrat, abgekürzt PNPP, ist ein wichtiges chemisches Zwischenprodukt auf dem Gebiet der pharmazeutischen Pestizidsynthese und ein Phosphorylierungsreagenz bei der Nukleotidsynthese. PNPP wird in der Biomedizin häufig verwendet. Es wurde erstmals in der klinischen Praxis verwendet, um die alkalische Phosphataseaktivität im Serum festzustellen. Mit der Entwicklung der Forschung kann PNPP auch als allgemeiner Indikator für die Phosphohydrolaseaktivität verwendet werden, hauptsächlich als Marker für die alkalische Phosphataseaktivität im Enzymimmunoassay (ELISA) und in der konventionellen Spektrophotometrie. Im Folgenden finden Sie eine Einführung in seine Prinzipien und Anwendungen, um seinen Anwendungswert in der biomedizinischen Forschung besser zu verstehen.

2. Grundsatz und Anwendung

Das Funktionsprinzip von PNPP besteht darin, dass farbloses Dinatrium-p-Nitrophenylphosphat unter Katalyse durch alkalische Phosphatase zerfällt und das erzeugte p-Nitrophenol unter alkalischen Bedingungen in p-Nitrophenolanion umgewandelt wird, was zu einer Verschiebung in die langwellige Richtung führt, d. h. das wasserlösliche Produkt ist gelb, sodass der Zweck der Überwachung des Reaktionsprozesses durch Überwachung der Absorption bei etwa 410 nm erreicht werden kann.

Die Anwendung von PNPP in der Biomedizin ist von großer Bedeutung für die Diagnose und Behandlung von Krankheiten. Insbesondere kann es verwendet werden, um die katalytische Aktivität verschiedener Phosphatasen zu bestimmen.

Alkalische Phosphatase (abgekürzt ALP), auch als alkalische Phosphatase bekannt, ist eines der häufig verwendeten Markerenzyme in In-vitro-Diagnostikreagenzien. Es ist in menschlichen Geweben wie Leber, Knochen, Darm, Nieren und Plazenta weit verbreitet. Es ist ein Enzym, das von der Leber in die Galle ausgeschieden wird. Zu den häufigsten gehören intestinale alkalische Phosphatase, nicht gewebespezifische alkalische Phosphatase, plazentare alkalische Phosphatase usw. Unter alkalischen Bedingungen kann es die Hydrolyse von Phosphatbindungen katalysieren und dadurch die Hydroxylgruppen in den Substratmolekülen freilegen. Zu solchen Substraten gehören Nukleinsäuren (DNA, RNA), Proteine, Alkaloide usw. In der Biologie werden Veränderungen des alkalischen Phosphatasespiegels (ALP) und des Aktivitätsniveaus häufig als Indikator zur Erkennung des Gewebeverhaltens verwendet. Der Nachweis alkalischer Phosphatase kann zur Diagnose von Krankheiten wie Leberfunktionsstörungen, Osteoporose und Diabetes verwendet werden.

Darüber hinaus ist PNPP ein häufig verwendetes ELISA-Substrat zum Nachweis alkalischer Phosphatase. ELISA ist eine häufig verwendete Immunassay-Technik, mit der biologische Moleküle wie Proteine, Hormone, Zytokine usw. in Proben nachgewiesen werden können. Der ELISA-Nachweis hat die Vorteile einer hohen Empfindlichkeit, starken Spezifität und einfachen Handhabung, weshalb er in der biomedizinischen Forschung häufig eingesetzt wird. PNPP spielt als Substrat für den ELISA-Nachweis von alkalischer Phosphatase eine wichtige Rolle in der biomedizinischen Forschung.

Zusammenfassend lässt sich sagen, dass PNPP ein sehr beliebtes In-vitro-Diagnostikreagenz ist. Dieser Artikel stellt kurz die Anwendung von PNPP in der Biomedizin vor. Darüber hinaus kann PNPP auch zum Nachweis von Pestizidrückständen usw. verwendet werden. Es ist ein wichtiges chemisches Zwischenprodukt im Bereich Medizin und Pestizide. Aufgrund der Anwendung von PNPP im biomedizinischen Bereich hat seine Qualität einen wichtigen Einfluss auf medizinische Tests. Die folgenden Zahlen zeigen die Eigenschaften qualifizierter (eins) und unqualifizierter (zwei) Qualität. Haofan Bio liefert derzeit PNPP und seine Qualität erfüllt oder übertrifft die Industriestandards.

hochfein

Darüber hinaus engagiert sich das Unternehmen in der Forschung und Entwicklung sowie in der Produktion von Reagenzien für die Amid- und Peptidsynthese. Nach zwanzig Jahren der Entwicklung und Akkumulation ist das Unternehmen zum weltweit größten und umfassendsten Anbieter von Reagenzien für die Amidsynthese geworden. Freunde können gerne anrufen und Anfragen stellen.

Verwandte Produkte

Hier stellen wir Ihnen unsere beliebten verwandten Produkte vor, die Sie interessieren könnten. Wenn Sie Fragen haben, setzen Sie sich bitte mit uns in Verbindung; unsere Spezialisten werden Ihnen innerhalb von 24 Stunden antworten.

(S)-2-(tert-butoxycarbonyl)pent-4-enoic...

CAS RN

221352-64-3

Appearance

White to off white solid

Purity

>97%

Erfahren Sie mehr...

2-hydroxyacetamide

CAS RN

598-42-5

Appearance

White to off-white or pale yellow powder

Purity

Erfahren Sie mehr...

4-(TRIFLUOROMETHYL)BENZOIC ANHYDRIDE

CAS RN

25753-16-6

Appearance

Off-white to white crystalline powder

Purity

≥98.0% GC

Erfahren Sie mehr...

4-Hydroxy-6-(trifluoromethyl)pyrimidine

CAS RN

1546-78-7

Appearance

White solid

Purity

>98% HPLC

Erfahren Sie mehr...

KONTAKT US

Bitte füllen Sie das untenstehende Formular aus und unser Vertriebsteam wird Ihnen gerne ein Angebot für Peptidsynthesereagenzien unterbreiten.

Thank you! Your message has been sent.
Unable to send your message. Please fix errors then try again.
Kontakt

Search

Beliebte Schlüsselwörter: TBTU, HBTU, HOBT, HOPO

Hinterlassen Sie eine Nachricht

Danke, dass Sie uns besuchen. Bitte hinterlassen Sie eine Nachricht und wir werden Ihnen per E-Mail antworten.

Kontakt