Erforschung der einzigartigen Eigenschaften und vielfältigen Anwendungen von TPS-Cl

7/26/2024

Sulfonylchloridderivate spielen in der Chemie und Biologie eine Vielzahl von Rollen und sind aufgrund ihrer einzigartigen chemischen Eigenschaften Gegenstand von großem Interesse und Forschung. Sie sind wichtige Zwischenprodukte in vielen Arzneimitteln, die ein breites Spektrum von Wirkstoffklassen abdecken, wie z. B. antibakterielle, antivirale und krebsbekämpfende Arzneimittel. Sulfonylchloridderivate können auch als Sonden für biologisch aktive Moleküle verwendet werden, um die Funktion und Struktur von Proteinen zu untersuchen. Darüber hinaus spielen Sulfonylchlorid-Derivate eine wichtige Rolle bei der Synthese von Hochleistungspolymeren und Oberflächenmodifikatoren, die in der Elektronik, Optik und Biomedizin eine Vielzahl von Anwendungen finden.

2,4,6-Triisopropylbenzolsulfonylchlorid (kurz TPSCl), eine der wichtigsten Organoschwefelverbindungen in der organischen Synthese, wird in einer Vielzahl von synthetischen Anwendungen wie Pharmazeutika, Elastomeren, Farbstoffen, Reinigungsmitteln, Ionenaustauscherharzen und Herbiziden eingesetzt. Es ist hervorzuheben, dass TPSCl nicht nur selbst eine ausgezeichnete biologische Aktivität aufweist und ein potenter 3MDR-Proteininhibitor mit guter antidepressiver Aktivität ist, sondern dass TPSCl darüber hinaus auch die wichtigste Struktureinheit einiger Proteaseinhibitoren ist, wie in der Abbildung gezeigt. TPSCl stellt einen Proteaseinhibitor dar, der eine einzigartige Struktur mit potenziellem funktionellem Wert aufweist.

TPSCl


TPSCl wird häufig im Bereich der organischen Synthese verwendet. Es ist ein hochselektives Kondensationsmittel, das ursprünglich von Khoranas Team vorgeschlagen und in der Oligo- und Polynukleotidsynthese eingesetzt wurde, um die Bindung zwischen C3′-C5′-Nukleotiden herzustellen. Wie in der folgenden Abbildung gezeigt, unterliegen unter der Einwirkung von TPSCl die 3′-Phosphatgruppe der ersten Nukleotideinheit und die 3′-Phosphatgruppe der zweiten Nukleotideinheit effizient einer Kondensationsreaktion. Eine stabile Phosphatbindung wird ohne die Notwendigkeit von Zusatzstoffen gebildet.
TPSCl
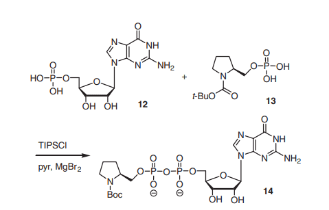
Darüber hinaus kann TPSCl auch zur Synthese von Diphosphaten verwendet werden, z. B. von Guanosin-Pyrrolidin-Diphosphat-Derivaten, die als potenzielle Fucosyltransferase-Inhibitoren vorgeschlagen wurden.
TPSCl
TPSCl spielt auch eine wichtige Rolle bei der Carbonyl-Aminierungsreaktion an der C-4-Position von Nukleosidbasen, wie die Synthese von 5-Hydroxymethyl-2′-desoxycytidin-Phosphoramidit-Analoga zeigt, bei der die Umwandlung von Uridin in Cytidin unter Beteiligung von TPSCl erreicht wurde.
TPSCl
Ein weiteres Beispiel ist die Synthese eines Wirkstoffs gegen das Hepatitis B-Virus durch Imotos Team, das ebenfalls die Umwandlung von Carbonyl in Amino mit Hilfe von TPSCl realisierte.
TPSCl
Neben den oben genannten Anwendungen ist TPSCl auch der wichtigste Rohstoff für die Synthese anderer multifunktionaler Reagenzien, wie in der folgenden Abbildung gezeigt, einschließlich TPSI, TPST, 1-(2,4,6-Triisopropylbenzolsulfonyl)-1,2,3,4-Tetrazol usw., die für die Kondensation von Nukleotiden verwendet werden; TSFH, das für die Reduktion von Olefinen und die Synthese von Hydrazon verwendet wird; und 2,4,6-Triisopropylbenzolsulfonylazid, das für die Übertragung von Diazid und Azid verwendet wird. Isopropylbenzolsulfonylazid für die Diazotierung und Azidübertragung.

TPSCl

Referenz:
[1] Jeelani, A.; Muthu, S.; Irfan, A.; et al. Experimentelle spektroskopische, molekulare Struktur, elektronische Solvatation, biologische Vorhersage und topologische Analyse von 2, 4, 6-Tri (propan-2-yl) benzolsulfonylchlorid: Ein Antidepressivum[J]. J. Mol. Liq. 2022, 358, 119166.
[2] Renatus, M.; Bode, W.; Huber, R.; et al. Strukturelle und funktionelle Analysen von Benzamidin-basierten Inhibitoren im Komplex mit Trypsin: Auswirkungen auf die Hemmung von Faktor Xa, tPA und Urokinase[J] J. Med. Chem. 1998, 41, 5445-5456.
[3] Colin, BR; Zhang, PZ Phosphotriester-Ansatz zur Synthese von Oligonukleotiden: Eine Neubewertung[J]. J. Chem. Soc., Perkin Trans. 1, 1993, 2291-2301.
[4] Lin, TC; Fang, JM Diphosphatbildung unter Verwendung von Cyanurchlorid oder Triisopropylbenzolsulfonylchlorid als Aktivierungsmittel[J]. Tetrahedron Letters. 2011, 52, 2232-2234.
[5] Zheng Xiu-An. Forschung zu Synthesemethoden für spezielle Nukleoside und Nukleosidphosphorylverbindungen [D]. Jiangxi: Jiangxi Normal University of Science and Technology, 2019.
[6] Onitsuka, K.; Tokuda, R.; Lmoto, S.; et al. Synthese und Bewertung der Anti-Hepatitis-B-Virus-Aktivität von 4'-Azido-Thymidin-Analoga und 4'-Azido-2'-desoxy-5-methylcytidin-Analoga: Strukturelle Erkenntnisse für die Entwicklung eines neuen Anti-HBV-Wirkstoffs[J]. NUCLEOS NUCLEOT NUCL. 2020, 39, 518-529.
[7] Narang, SA; Itakura, K.; Katagiri, N. Neue Kondensationsreagenzien für die Polynukleotidsynthese[J]. JCS CHEM. COMM. 1974, 325-326.


Verwandte Produkte

Hier stellen wir Ihnen unsere beliebten verwandten Produkte vor, die Sie interessieren könnten. Wenn Sie Fragen haben, setzen Sie sich bitte mit uns in Verbindung; unsere Spezialisten werden Ihnen innerhalb von 24 Stunden antworten.

(S)-2-(tert-butoxycarbonyl)pent-4-enoic...

CAS RN

221352-64-3

Appearance

White to off white solid

Purity

>97%

Erfahren Sie mehr...

2-hydroxyacetamide

CAS RN

598-42-5

Appearance

White to off-white or pale yellow powder

Purity

Erfahren Sie mehr...

4-(TRIFLUOROMETHYL)BENZOIC ANHYDRIDE

CAS RN

25753-16-6

Appearance

Off-white to white crystalline powder

Purity

≥98.0% GC

Erfahren Sie mehr...

4-Hydroxy-6-(trifluoromethyl)pyrimidine

CAS RN

1546-78-7

Appearance

White solid

Purity

>98% HPLC

Erfahren Sie mehr...

KONTAKT US

Bitte füllen Sie das untenstehende Formular aus und unser Vertriebsteam wird Ihnen gerne ein Angebot für Peptidsynthesereagenzien unterbreiten.

Thank you! Your message has been sent.
Unable to send your message. Please fix errors then try again.
Kontakt

Search

Beliebte Schlüsselwörter: TBTU, HBTU, HOBT, HOPO

Hinterlassen Sie eine Nachricht

Danke, dass Sie uns besuchen. Bitte hinterlassen Sie eine Nachricht und wir werden Ihnen per E-Mail antworten.

Kontakt