Chiralität nutzen, Recycling ermöglichen: CTSOAt – ein multifunktionales Synthesewerkzeug der nächsten Generation

11/28/2025

Die Entwicklung von Kupplungsreagenzien schreitet mit Riesenschritten voran.

1. Hintergrund Einleitung

Von traditionellen Reagenzien bis hin zu einer ständigen Entwicklung neuer Designs haben sie die Innovation der Peptidsynthesetechnologie maßgeblich vorangetrieben. Reagenzien der neuen Generation haben die Syntheseeffizienz und -reinheit deutlich verbessert und ermöglichen so einen effizienteren und präziseren Aufbau von Peptidbindungen. Gleichzeitig liefern sie wichtige Werkzeuge für die Lebenswissenschaften sowie die Forschung und Entwicklung neuer Medikamente.

2. CTSOAt:

3H-[1,2,3]Triazolo[4,5-b]pyridin-3-yl-5-chlorothiophen-2-sulfonat (abgekürzt CTSOAt, Struktur siehe Abbildung unten) ist ein neuartiges, multifunktionelles Kupplungsreagenz, das die Bildung von CO-, CN- und CC-Bindungen fördert und wiederverwendbar ist. Es ist bei 0 °C bis zu einem halben Jahr stabil lagerbar. Experimentelle Untersuchungen zeigen, dass die Schlüsselbindung im CTSOAt-Molekül über eine SO-Bindung und nicht über eine SN-Bindung erfolgt. Erstere weist eine niedrigere Bindungsenergie auf, was zu einer stabileren Gesamtstruktur führt. Im Vergleich zu HOAt, das potenziell thermisch instabil ist, besitzt CTSOAt laut DSC- und TGA-Tests eine ausgezeichnete thermische Stabilität.

CTSOAt
Insbesondere hat die Langzeitvalidierung gezeigt, dass Kupplungsreagenzien auf Basis der HOAt-Struktur im Allgemeinen ausgezeichnete Racemisierungshemmungseigenschaften aufweisen. CTSOAt behält nicht nur die Struktureinheit von HOAt bei, sondern seine Thiophenstruktur kann auch günstige Wechselwirkungen mit Carbonsäuren eingehen, was die Konfigurationserhaltung weiter begünstigt.

3. Anwendungen

Als neuartiges, multifunktionales und hocheffizientes Kupplungsreagenz kann CTSOAt nicht nur Amidierungs- und Veresterungsreaktionen fördern, sondern auch an Suzuki-Reaktionen teilnehmen, um die Umwandlung von Carbonsäuren in Ketonverbindungen zu realisieren.

1. Amide und Polypeptide

(1) Amidsynthese:
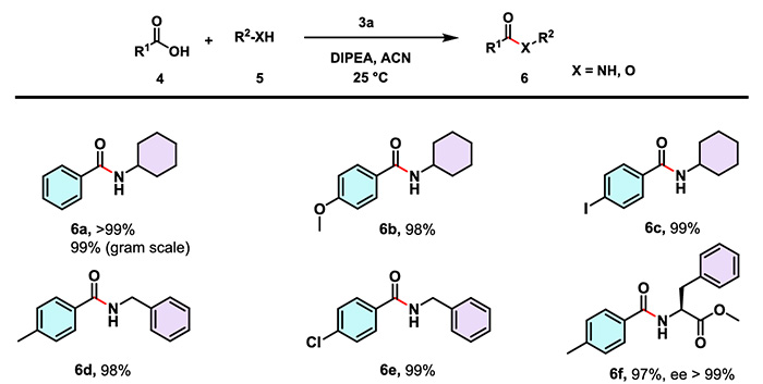
Das Forschungsteam um Mandal Bhubaneswar untersuchte systematisch die Anwendbarkeit von CTSOAt in der Amidsynthese. Dabei wurden aromatische Säuren (mit elektronenziehenden und -schiebenden Gruppen), (langkettige) Fettsäuren sowie Amine wie aromatische, aliphatische und sterisch gehinderte Amine analysiert. Die experimentellen Ergebnisse zeigten, dass die Ausbeuten der Zielverbindungen im Allgemeinen über 90 % lagen. Selbst Substrate mit basenempfindlichen Fmoc-Schutzgruppen konnten durch CTSOAt effizient katalysiert werden, wodurch die entsprechenden Amide in glatter Form erhalten wurden.

CTSOAt

(2) Peptidsynthese
Unter denselben Bedingungen wurde CTSOAt erfolgreich zur Synthese von Di- und Tripeptiden mit verschiedenen Schutzgruppen und sterisch anspruchsvollen Resten eingesetzt. Die Reaktionen liefern hohe Ausbeuten und eine ausgezeichnete Stereokonfigurationserhaltung, was die Anwendbarkeit von CTSOAt beim Aufbau komplexer Peptidsegmente eindrucksvoll belegt.
CTSOAt

(3) Festphasensynthese.
Bei der Festphasensynthese wurde das umweltfreundliche Lösungsmittelsystem aus 10 % DMSO/Ethylacetat verwendet und Peptidsequenzen auf Rink-Amid-MBHA-Harz nach der Fmoc/t-Bu-Strategie synthetisiert. CTSOAt erzielte für alle getesteten Sequenzen zufriedenstellende Ausbeuten. Insbesondere bei der Synthese von KLVFF – einem Kernfragment-Analogon von Amyloid-β (Aβ) – wurde eine Ausbeute von 56 % erreicht, während die Ausbeute von HATU unter denselben Bedingungen nur 27 % betrug.

CTSOAt

(4) Wirkstoffmodifizierung: CTSOAt kann auch zur Amidierungsstrukturmodifizierung verschiedener Wirkstoffmoleküle wie Gemfibrozil und Indomethacin eingesetzt werden. Diese Beispiele bestätigen seinen praktischen Nutzen bei Reaktionen mit sterisch gehinderten und reaktionsträgen Aminen.

(5) Racemisierungstest: Um die racemisierungshemmende Wirkung von CTSOAt umfassend zu bewerten, führte das Forschungsteam um Mandal Bhubaneswar einen direkten Vergleich mit gängigen Kupplungsreagenzien (z. B. DEPBT, HBTU) durch. Die Ergebnisse zeigten, dass CTSOAt die Herstellung der Zielverbindungen mit einer Ausbeute von 95 % innerhalb kurzer Zeit ermöglicht, ohne dass racemische Produkte nachgewiesen wurden.
CTSOAt

2. Estersynthese

CTSOAt eignet sich gleichermaßen zur Synthese von Esterverbindungen. Im Vergleich zu Aminverbindungen sind die Ausbeuten von Estern, die aus Alkoholen mit geringerer Nukleophilie synthetisiert werden, im Allgemeinen niedriger als jene von Amiden. Dennoch können die Ausbeuten 80 % übersteigen, und das Produkt weist eine ausgezeichnete Stereokonfigurationserhaltung auf.

CTSOAt

Der Reaktionsmechanismus solcher durch CTSOAt vermittelter Kupplungsreaktionen ist wie folgt:

CTSOAt
Unter Einwirkung einer Base greift die Carbonsäure CTSOAt an und bildet ein gemischtes Anhydrid-Zwischenprodukt. Anschließend greift das Sauerstoffanion der HOAt-Einheit das gemischte Anhydrid an, wodurch ein aktivierter OAt-Ester entsteht. Schließlich initiiert der Alkohol/das Amin einen nukleophilen Angriff, der zum entsprechenden Ester und Amid führt. Während der Reaktion entstehen 5-Chlorthiophen-2-sulfonsäure und HOAt als Nebenprodukte. Nach Behandlung mit Thionylchlorid ermöglichen diese beiden Nebenprodukte die Rückgewinnung von CTSOAt mit einer Ausbeute von 50 %.

3. Ketonsynthese

Neben herkömmlichen Kupplungsreaktionen kann CTSOAt auch an Suzuki-Kupplungsreaktionen teilnehmen, um Carbonsäuren in Ketone umzuwandeln. Carbonsäuren und Boronsäuren mit elektronenziehenden, elektronenschiebenden oder sterisch anspruchsvollen Substituenten liefern die Zielverbindungen in mäßigen bis guten Ausbeuten.

CTSOAt
Der spezifische Reaktionsmechanismus ist wie folgt: Unter Pd-Katalyse wird die Umwandlung von Carbonsäuren in Ketone durch Prozesse wie oxidative Addition, Transmetallierung und reduktive Eliminierung erreicht.

CTSOAt

4. Gesamtschlussfolgerungen

CTSOAt ist ein neuartiges und wiederverwendbares Kupplungsreagenz mit exzellenter Toleranz gegenüber funktionellen Gruppen und sterischer Hinderung. Dieses Reagenz fördert nicht nur effizient die Synthese von Amiden und Estern und hemmt die Racemisierung signifikant, sondern bietet auch breite Anwendungsmöglichkeiten in der Modifizierung von Wirkstoffmolekülen und der Festphasensynthese. Darüber hinaus kann es an Suzuki-Kupplungsreaktionen teilnehmen und so Carbonsäuren in Ketone umwandeln. Zusammenfassend stellt die Entwicklung von CTSOAt ein neues und leistungsstarkes Werkzeug für die synthetische Chemie und verwandte Gebiete dar.

Über Highfine Biotech

Suzhou Highfine Biotech Co., Ltd. (Börsenkürzel: 301393.SZ), gegründet 2003 und mit Hauptsitz in der Suzhou High-Tech-Zone, ist ein nationales Hightech-Unternehmen, das sich auf die Lieferung von Spezialrohstoffen für pharmazeutische Forschungs- und Entwicklungs- sowie Produktionsunternehmen weltweit spezialisiert hat.

Unsere Produkte finden vorwiegend Anwendung in Bereichen wie der Peptid-, Nukleotid- und pharmazeutischen Synthese und decken ein breites Spektrum ab, darunter Spezialkupplungsreagenzien zur Amidbindungsknüpfung, Schutzreagenzien, Linker, Proteinvernetzer für Antikörper-Wirkstoff-Konjugate (ADCs), molekulare Bausteine, Liposomen und Phosphorreagenzien. Wir verfügen über Forschungs- und Entwicklungserfahrung mit insgesamt über 1.500 Produkten. Nach

mehr als zwei Jahrzehnten kontinuierlicher Anstrengungen und stetiger Weiterentwicklung hat sich Highfine Biotech zu einem führenden Unternehmen im globalen Markt für Peptidsynthese-Reagenzien entwickelt. Wir bieten ein umfassendes Angebot an kundenspezifischen Produkten und deutliche Vorteile in der Großproduktion, um die spezifischen Bedürfnisse unserer Kunden optimal zu erfüllen.

Wir laden interessierte Kunden herzlich ein, sich für weitere Informationen und zur Besprechung möglicher Kooperationsmöglichkeiten mit uns in Verbindung zu setzen.

Referenzen:
[1] Roy, S.; Rahaman, SR; Sarkar, A., Mandal, B. Sulfonatderivat von HOAt (CTSOAt) als Kupplungsreagenz zur Knüpfung von C−N-, C−O- und C−C-Bindungen[J]. J. Org. Chem. 2025, 90, 34, 12061–12079.


Verwandte Produkte

Hier stellen wir Ihnen unsere beliebten verwandten Produkte vor, die Sie interessieren könnten. Wenn Sie Fragen haben, setzen Sie sich bitte mit uns in Verbindung; unsere Spezialisten werden Ihnen innerhalb von 24 Stunden antworten.

(S)-2-(tert-butoxycarbonyl)pent-4-enoic...

CAS RN

221352-64-3

Appearance

White to off white solid

Purity

>97%

Erfahren Sie mehr...

2-hydroxyacetamide

CAS RN

598-42-5

Appearance

White to off-white or pale yellow powder

Purity

Erfahren Sie mehr...

4-(TRIFLUOROMETHYL)BENZOIC ANHYDRIDE

CAS RN

25753-16-6

Appearance

Off-white to white crystalline powder

Purity

≥98.0% GC

Erfahren Sie mehr...

4-Hydroxy-6-(trifluoromethyl)pyrimidine

CAS RN

1546-78-7

Appearance

White solid

Purity

>98% HPLC

Erfahren Sie mehr...

KONTAKT US

Bitte füllen Sie das untenstehende Formular aus und unser Vertriebsteam wird Ihnen gerne ein Angebot für Peptidsynthesereagenzien unterbreiten.

Thank you! Your message has been sent.
Unable to send your message. Please fix errors then try again.
Kontakt

Search

Beliebte Schlüsselwörter: TBTU, HBTU, HOBT, HOPO

Hinterlassen Sie eine Nachricht

Danke, dass Sie uns besuchen. Bitte hinterlassen Sie eine Nachricht und wir werden Ihnen per E-Mail antworten.

Kontakt