12/29/2021
Boc-Säureanhydrid wird häufig als tert-Butoxycarbonyl-Schutzgruppe in der organischen Synthese verwendet, insbesondere zum Schutz von Aminogruppen in Aminosäuren [1]. Weit verbreitet bei der Synthese verschiedener Produkte wie Medizin, Protein- und Peptidsynthese, Biochemie, Lebensmittel, Kosmetika usw. In diesem Artikel werden kurz die Methode und der Mechanismus der Einführung und Entfernung der Boc-Schutzgruppe durch Boc-Anhydrid vorgestellt.
Einführung in die Anwendung von Boc-Anhydrid
Boc-Säureanhydrid ist auch als Di-tert-butyldicarbonat bekannt und hat die Molekülformel C10H18O5, ein Molekulargewicht von 218,25 und einen Siedepunkt von 185,2 °C. Seine Strukturformel ist in Abbildung 1 dargestellt.

Abbildung 1
Boc-Säureanhydrid wird häufig als tert-Butoxycarbonyl-Schutzgruppe in der organischen Synthese verwendet, insbesondere zum Schutz von Aminogruppen in Aminosäuren [1]. Es wird häufig bei der Synthese verschiedener Produkte wie Medizin, Protein- und Peptidsynthese, Biochemie, Lebensmitteln, Kosmetika usw. verwendet. Dieser Artikel stellt kurz die Methode und den Mechanismus der Einführung und Entfernung der Boc-Schutzgruppe durch Boc-Anhydrid vor.
Einführung der Boc-Schutzgruppe
Es gibt viele Strategien, um Boc-Anhydrid zu verwenden, um Boc an die Aminogruppe anzufügen. Die am häufigsten verwendeten anorganischen Basen sind NaOH und NaHCO3; die organischen Basen sind Triethylamin usw.; die Lösungsmittel sind oft Dioxan, Wasser oder Alkohol. Einige Amine mit geringer Nukleophilie müssen dmap als Katalysator hinzufügen.
Beispielsweise berichtete Joseph A., dass durch die Verwendung von 2-Amino-1-(4-bromphenyl)ethyl-1-keton und Boc-Säureanhydrid unter der organischen Base Triethylamin und Rühren über Nacht bei Raumtemperatur eine nahezu quantitative Ausbeute erzielt werden kann. Das Produkt mit der Boc-Schutzgruppe wurde erhalten. Die Reaktionsbedingungen sind mild und die Ausbeute hoch [2].

Abbildung II
Beim Substrat der Sulfonamide ist die Nukleophilie der Aminogruppe aufgrund der starken elektronenziehenden Wirkung der Sulfonylgruppe möglicherweise nicht hoch. Daher ist die Zugabe einer katalytischen Menge an dmap (4-Dimethylaminopyridin) erforderlich, um die Reaktion an Boc zu katalysieren [3], wie in Abbildung 3 dargestellt.

Abbildung drei
Wenn das Substrat gleichzeitig zwei Aminogruppen enthält, ist die Boc-Reaktion oft selektiv [4]. In Abb. 4 ist beispielsweise Boc-Anhydrid ein einzelnes Boc auf einem aliphatischen Amin in 97 % Ausbeute unter basischen Natriumbicarbonat-Bedingungen. Dies liegt daran, dass die Basizität und Nukleophilie von aliphatischen Aminen stärker sind als die von aromatischen Aminen; und das Halogenchlor in der ortho-Position von aromatischen Aminen ist eine schwache elektronenziehende Gruppe, die die Nukleophilie von aromatischen Aminen weiter verringert.

Abbildung vier
Darüber hinaus hat die Literaturrecherche ergeben, dass sich mit einigen aliphatischen oder aromatischen Aminen in protischen Lösungsmitteln wie Methanol und Ethanol Boc-upped-Produkte in hohen Ausbeuten ohne Zugabe einer Base herstellen lassen [5]. Beispielsweise wie in Abbildung 5 dargestellt.

Abbildung fünf
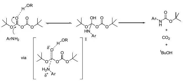
Die Autoren schlugen einen möglichen Mechanismus vor: In Gegenwart protischer Lösungsmittel kann Boc-Anhydrid Wasserstoffbrücken mit Alkoholen bilden und so die Carbonylgruppe aktivieren. Wie in Abbildung 6 dargestellt.

Abbildung sechs
Wenn Ethanol als Lösungsmittel verwendet wird, kann neben der Zugabe von Boc ohne Alkali auch mit Z-OSu oder Fmoc-OSu reagiert werden, um entsprechende Schutzgruppen hinzuzufügen.
Entschützung der Boc-Schutzgruppe
Die Boc-Schutzgruppe ist eine säureempfindliche Gruppe. Bei der Flüssigphasenpeptidsynthese kann TFA oder 50 % TFA (TFA:CH2Cl2 = 1:1, v/v) verwendet werden, um Boc zu entfernen. Bei der Festphasenpeptidsynthese wird häufig 1–2 M HCl/organisches Lösungsmittel verwendet, da TFA einige Nebenreaktionen hervorruft (wie z. B. eine Trifluoracetylgruppe am erhaltenen Amin usw.). Im Allgemeinen ist HCl/Dioxan üblicher. Die Reaktionsformel zur Entschützung ist in Abbildung 7 dargestellt.

Abbildung sieben
Unter sauren Bedingungen ist der Mechanismus der Schutzgruppenabspaltung in Abbildung 8 dargestellt. Protonensäure aktiviert die tert-Butoxycarbonylgruppe und setzt Kohlendioxid frei, wodurch das entsprechende Amin sowie das tert-Butylkation entstehen. Die Umlagerung des tert-Butylkations ergibt Isobuten. Wenn das System Alkohol oder Carbonsäure enthält, können diese von tert-Butylkationen abgefangen werden, wodurch die entsprechenden Nebenprodukte entstehen.

Abbildung Acht
Dieser Artikel stellt kurz die Eigenschaften von Boc-Anhydrid sowie einige Vorsichtsmaßnahmen bei seiner Verwendung als Boc-Schutzgruppe zur Einführung und Entfernung vor.
Suzhou Haofan Biological Co., Ltd. widmet sich der Forschung und Entwicklung sowie der Produktion von Reagenzien für die Amid- und Peptidsynthese. Das Unternehmen verfügt über eine vollständige Produktpalette und eine große Produktion, die die meisten Anforderungen des Marktes erfüllen kann. Freunde sind herzlich eingeladen, sich zu erkundigen.
Referenzen:
[1] Chankeshwara, S. V.; Chakraborti, AK Org. Lette. 2006, 8, 3259-3262.
[2] Neu, X.; Joseph, A. Bioorg. Mach weiter. Chem. Lett, 2010, 20, 4812-4815.
[3] Li, J. ; Smith, D. ; Wong, HS ; Campbell, JA ; Meanwell , NA ;
Synlett, 2006, 5, 725-728.
[4] WO2012/22792, 2012, A1.
[5] Tirayut, V. Terahedron Lett. 2006, 47, 6739-6742.
Hier stellen wir Ihnen unsere beliebten verwandten Produkte vor, die Sie interessieren könnten. Wenn Sie Fragen haben, setzen Sie sich bitte mit uns in Verbindung; unsere Spezialisten werden Ihnen innerhalb von 24 Stunden antworten.
Bitte füllen Sie das untenstehende Formular aus und unser Vertriebsteam wird Ihnen gerne ein Angebot für Peptidsynthesereagenzien unterbreiten.